|
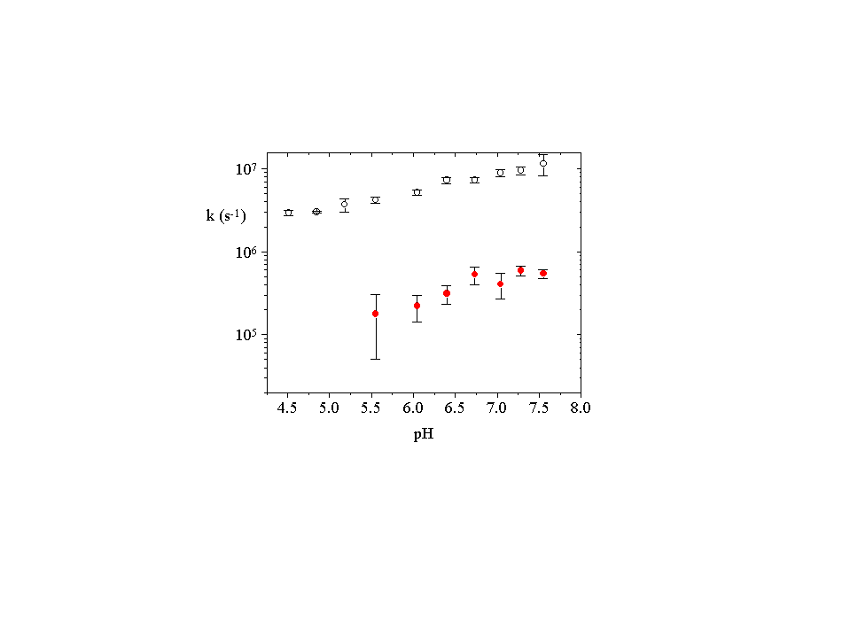
Dependence of structural volume changes on the
prepulse pH
Structural volume changes and rate
constants of the detected transients as a function of the pre-pulse
pH have been determined with a two temperatures method.
At all investigated pH values we detected a subresolution prompt contraction,
associated with the photoinduced proton release.
An expansion, occurring with a pH dependent rate constant, is detectable
within some hundreds of nanoseconds. This reaction is associated with the
protonation of carboxyls on the protein as evidenced by Kauzmann (J. Rasper
and W. Kauzmann, J. Am. Chem. Soc. (1962), 84, 1771-1777).
A further contraction, with lifetime of a few ms,
is present only at pH above 5.5 (the pKa of the transition from
N to I), i.e. when the protein is in state N. This transient is correlated
with the protonation of His residues. The contraction occurs with a pH
dependent rate constant but reaches a plateau at pH above 7.
|