Photosensitization of Nanocrystalline TiO2 Thin Films by a Polyimide bearing Pendent Substituted Ru(bpy)3+2 Groups

Hiroyuki Osora, Weijin Li, Luis Otero, and Marye Anne Fox*

Contribution from the Department of Chemistry and Biochemistry, The University of Texas at Austin, Austin, Texas 78712.

Abstract

Under visible illumination, a thin film of nanocrystalline TiO2 coated with an adsorbed substituted-Ru(bpy)3+2-labeled polyimide 1 produces a sensitized photocurrent when spin-coated on a conductive ITO support. The magnitude of the observed anodic photocurrent defines the efficiency of charge injection from the adsorbed dye to the nanoparticle and of interparticulate electron hopping to the conductive support. Power characteristics and photocatalytic activity of the sensitized film were investigated. Laser flash photolysis at different applied potentials produced transient absorption spectra that were analyzed as multicomponent charge injections. Lifetime measurements permitted a characterization of the efficiency of electron migration across the semiconductor film. The polymeric dye was also shown to be an effective photosensitizer in inducing the catalytic oxidative decomposition of methylene blue.

1. Introduction

Semiconductor particles have long been studied for their utility as sites for photocatalytic redox reactions [1, 2] and in high efficiency solar energy conversion [3-6]. Nanocrystalline metal oxide semiconductor films [5, 6] can have quite different physical properties from those of the corresponding colloidal particles [7, 8], and a variety of dyes, including porphyrins [9-11] and ruthenium polypyridyl complexes [12-21], have been used effectively as photosensitizers to extend the wavelength responsiveness of these particles, whether formulated as thin films or as colloidal suspensions.

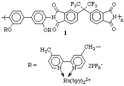
Nonetheless, the utility of such sensitized materials is limited because the stabilities of most adsorbed dyes are poorer than that of the semiconductor film itself [6, 8] and because only poor light harvesting can take place since adsorptive coverages thicker than a monolayer typically result in a reduction in photoresponsiveness. However, when a substituted-Ru(bpy)32+ dye is affixed onto a polyimide backbone as in polymer 1 [22], more efficient and longer-lived photosensitization is observed, compared with that obtained with the corresponding monomeric dye. This improved utility of this polymeric dye probably derives from the superior mechanical and thermal properties of the polymeric sensitizer [23, 24] and the better positioning of high concentrations of the appended dye near the surface of the photoactive metal oxide.

In this study are described two applications of this integrated system in which 1 is adsorbed as a photosensitizer onto nanoparticulate TiO2. These include measurements of: (1) dye-sensitized photocurrents from a photoanode formulated from a nanocrystalline thin film of TiO2 coated with polyimide 1; and (2) photocatalytic redox reactivity induced by visible light irradiation of thin films of the polymeric dye-coated thin films. In this dye-coated film, the efficiency of interfacial electron transfer was investigated by laser flash photolysis in order to define the relative efficiency of inter-particle hopping and, ultimately, the magnitude of observable photoelectrochemical effects. Similarly, the photosensitized catalytic activity of the same thin film was evaluated by monitoring the visible-light-induced oxidative bleaching of methylene blue (MB) in aqueous solution.

2. Experimental Section

2.1. Preparation of nanoparticulate TiO2 thin films modified with 1

Stable titanium dioxide polymeric sols with an average diameter of about 80 nm were prepared by hydrolyzing titanium tetraisopropoxide (Aldrich) by adding a small quantity of water in 2-propanol [25]. The synthesis and characterization of polyimide 1 have been described elsewhere [22]. Cyclic voltammetry and fluorescence studies established that the backbone of polyimide 1 acts as an inert scaffold onto which the highly absorptive substituted-Ru(bpy)32+ chromophores can be quantitatively attached. Polyimide 1 was also found to be highly thermal stable: a 5% weight loss was observed only at temperatures above 480 oC in thermogravimetric measurements [22].

Optically transparent electrodes (1.5 x 1.5 cm2) were cut from indium tin oxide (ITO) coated glass plates (1.3 mm thickness of ITO, 100 W/square) obtained from Delta Technologies. The TiO2 sol (2 wt %) was spin-coated onto the ITO plate at a speed of 2500 rpm for 25 s with a P6204-A model Specialty Coating System. Thick films were obtained by multiple applications. Between each application, the TiO2-coated ITO plates were heated at 180 °C for 5 min. The final TiO2-coated electrodes (ITO/TiO2) were annealed at 450 °C in air for 1 h. Three different thickness of TiO2-coated electrodes are used in this study: 0.24, 0.50, and 1.2 mm, as measured by profilometry.

The nanoparticulate TiO2-coated ITO electrodes were then soaked in a solution of 1 in MeCN (8 x 10-3 M in Ru(bpy)32+) overnight. The resulting polymer dye-coated films were washed with copious amounts of MeCN and the resulting coated electrodes (ITO/TiO2/1) were baked at 150 oC in air for 1 h.

2.2. Photocurrent measurements

Photocurrents produced by visible irradiation of the polymer-modified electrodes were measured in an electrochemical cell [26] equipped with an optically flat quartz window, a Ag/AgCl reference electrode, and a Pt foil (2.25 cm2) auxiliary electrode. The resulting film was used as the photoanode when placed in contact with an aqueous solution of hydroquinone (H2Q, 0.005 M) containing NaH2PO4 (0.05 M) at pH 5.1 that had been thoroughly deoxygenated by bubbling with N2.

A Princeton Applied Research (PAR) model 173 potentiostat, model 179 digital coulometer, and model 175 universal programmer were used in all photoelectrochemical measurements, which were recorded on a Houston Model 2000 x-y recorder. Photocurrent action spectra for the polymer-modified electrodes were obtained with a 150 W high-pressure Xe lamp adapted with a uv filter (> 425 nm) as the excitation light source, with the collimated light beam passing through an Oriel 77250 grating monochromator to select the excitation wavelength as the steady-state photocurrent was recorded. The electrodes were located at the focus of a condensing lens (illuminated area = 0.78 cm2) held 15 cm from the monochromator. The incident light intensities at the different wavelengths were measured with an IL700 International Light Research Radiometer.

Potential-dependent surface fluorescence spectra of the ITO/TiO2/1 electrodes were collected under identical conditions on a SPEX Fluorolog 2 instrument in the front face mode. The instrument contains a 450 W Xe lamp, a Hamamatsu R508 photomultiplier, and two double-grating monochromators on both the excitation and emission sample compartments on a SPEX DM3000 controller unit interfaced with the Fluorolog instrument. Samples were held in a custom-designed holder that places the electrode at a fixed distance from both the excitation source and the detector, allowing quantitatively reproducible fluorescence intensities to be recorded.

Transient absorption experiments at various potential biases were carried out in a conventional laser flash photolysis setup employing a modified sampler holder to accommodate a photoelectrochemical cell. The excitation of the films was made from the back face with a Continuum Surelite Q-switched Nd:YAG laser (6 ns pulse width, 10 mJ/ pulse) at 532 nm.

2.3 Sensitized photocatalytic decomposition of methylene blue

Photosensitized catalytic oxidative decomposition of MB was carried out in a batch photoreactor modified to accommodate a quartz UV cuvette containing 3 mL of an air-equilibrated aqueous solution of methylene blue (3 x 10-6 M). The illumination area is ~2 cm2. The degradation reaction was monitored for two ITO/TiO2 electrodes with a metal oxide thickness of 1.2 mm, one with and one without adsorbed 1. A third ITO electrode coated with a 1.2 mm TiO2 Degussa P25 film was prepared by a procedure analogous to that described above. These electrodes were placed at the edge of a cuvette in a batch photoreactor with the TiO2-coated surface in contact with the MB solution. Back-side irradiation with a 150 W Xe-lamp (Oriel 7725) with a UV filter (> 425 nm) as irradiation source ensured that the observed photoreactivity was initiated by light absorbed by the polymeric sensitizer.

 

3. Results and Discussion

3.1. Dependence of photosensitization efficiency on film thickness

The monochromatic incident photon-to-current efficiency (IPCE) is defined as the ratio of electrons injected into an external circuit to the number of incident photons. This quantity is evaluated [8, 15, 27] from eqn. 1 :

IPCE (%) = 100 x (isc x 1240)/(Iinc x l) (1)

where isc is the short circuit photocurrent (A/cm2), Iinc is the incident light intensity (W/cm2), and l is the excitation wavelength (nm).

A photocurrent action spectrum for a polymeric dye-sensitized ITO/TiO2/1 thin film electrode, i.e., a plot of the observed IPCE (%) as a function of the incident wavelength, is compared with the absorption spectrum of polyimide 1 in Figure 1.

Figure 1. Absorption spectrum (-), and photocurrent action spectra of electrodes ITO/TiO2/1 (·) and ITO/TiO2 (D). The TiO2 film thicknesses of both electrodes are 0.50 mm. Electrolyte: aqueous NaH2PO4 (0.05 M) containing H2Q (0.005 M).

An uncoated ITO/ TiO2 electrode shows only negligible photocurrent upon excitation in the visible (> 400 nm) region of the electromagnetic spectrum. However, the polymeric dye-sensitized thin film produced a substantial photocurrent upon irradiation at wavelengths longer than 400 nm. For example, with a 3.21 x 10-6 W/cm2 photon flux, a photocurrent of 2.4 mA was recorded, corresponding to a monochromatic IPCE of ~26% at the absorption maximum (465 nm). The photocurrent action spectrum closely resembles the absorption spectrum of the polyimide 1, demonstrating that successful photosensitization by 1 of the nanoparticulate TiO2 thin film electrode had been attained.

Both high porosity of the spin-coated nanoparticulate TiO2 thin film and efficient electron hopping from the nanoparticles to the ITO support were revealed by the linear dependence of the observed IPCE (%) values of the ITO/TiO2/1 electrodes on the thicknesses of the composite thin films, Figure 2.

Figure 2. Photocurrent action spectra of ITO/TiO2/1 electrodes with different TiO2 film thickness: a) 1.2 mm, b) 0.50 mm, c) 0.24 mm.

The IPCE (%) values at the absorption maxima (465 nm) of these electrodes are proportional both to the absorbance (not shown) at the absorption maxima of the adsorbed substituted-Ru(bpy)32+ chromophores in the corresponding polymeric dye-coated thin films and to the thickness of the nanoparticulate film. This observation suggests that the number of active sites to which polyimide 1 can be adsorbed from solution is proportional to the film thickness, i.e., that free diffusion of the polymeric dye took place during absorption. Furthermore, the observed steady-state photocurrents are proportional to film thickness at the same applied potential, as is consistent with the observed IPCE (%) dependence on the TiO2 film thickness. The proportionality of the photon-to-current conversion efficiency to film thickness thus shows facile migration of the injected electrons from particle to particle across even thicker films.

3.2. Emission spectra of ITO/TiO2/1 electrodes

Unlike the large changes of fluorescence intensity induced by applied potential for bis(2,2'-bipyridine)(2,2'-bipyridine-4,4'-dicarboxylic acid) ruthenium (II) perchlorate) (Ru(bpy)2(dcby)2+) adsorbed directly onto a SnO2 electrode immersed in I3-/I2 in acetonitrile [15], we observed only weak dependence of the fluorescence intensity for 1 adsorbed onto TiO2 thin films on applied bias in the range from -0.5 V to +0.2 V (vs. Ag/AgCl), Figure 3.

Figure 3. Emission spectra of electrode ITO/TiO2/1 (0.5 mm of TiO2) recorded at different applied potentials, lex = 460 nm, in a back-face illumination configuration. The reported intensities have been corrected for instrument response. Electrolyte: aqueous NaH2PO4 (0.05 M) containing H2Q (0.005 M).

The inherent difference between the polymeric Ru(bpy)32+ dye used in this study and the previously studied monomeric Ru(bpy)2(dcby)2+ may derive from the different binding sites and the different relative adsorptivity on the TiO2 particle for these two sensitizing dyes. Fluorescence quenching studies of Ru(bpy)32+ and Ru(bpy)2(dcby)2+ by aqueous TiO2 nanoparticles have shown, for example, that Ru(bpy)2(dcby)2+ is more strongly adsorbed on the TiO2 nanoparticles, producing a ten-fold reduction in fluorescence intensity [28], probably because of strong binding of the -COOH functional group [12, 28] at sites not easily accessible to the polymeric dye.

3.3. Transient absorption spectra

Spectroelectrochemical experiments were carried out in a conventional laser flash photolysis apparatus for a ITO/TiO2/1 electrode excited with a 532 nm pulse. The transient absorbance was monitored at 380 and 470 nm at various applied potentials. A transient triplet Ru(II)* excited state absorbing at 380 nm is accompanied by ground state bleaching at 470 nm [15]. Figure 4 shows these transient absorbances under a bias of -0.5 V and +0.2 V, respectively. No significant changes in transient lifetime are observed in either case. Thus, modest applied potentials do not substantially affect the excited state properties of the sensitizing dye.

Figure 4. Transient absorption-time profiles of electrode ITO/TiO2/1 (0.5 mm of TiO2) monitored (lem) at: a) 380 nm and b) 470 nm, following laser pulse excitation at 532 nm and at a bias from -500 mV to +200 mV (vs. Ag /AgCl).

3.3. Electron migration by interparticle hopping

The magnitude of the photosensitized transient current observed with ITO/TiO2/1 thin films of different thicknesses (0.24 and 0.50 mm) depends on applied bias in the range from +200 to -400 mV (vs. Ag/AgCl), Figure 5.

Figure 5. Photocurrent growth under an external applied potentials for ITO/TiO2/1 electrodes with a TiO2 film thickness of a) 0.24 mm and b) 0.50 mm.

The observed photocurrent growth has three parts: an immediate growth taking place with the laser pulse, followed by a second fast growth process (~10 ms) that is independent of applied potential and a third slow growth (requiring up to 900 ms) that shows significant dependence on external bias. Irrespective of electrode thickness, the growth of the fast component of the photocurrent was complete within 10 ms.

The latter two observed photocurrent responses (Figure 5) can be fit to eqn. 2 [29]:

i(t) = imax x (1- (a1·exp(-k1·t)+ a2·exp(-k2·t ))) (2)

where ai is a pre-exponential factor describing the weighting of a particular pathway for electron migration among the TiO2 nanoparticles composing the metal oxide film and ki is the rate constant for this process. The fitting coefficients for these fast and slow components of the observed photocurrent growth are shown in Table 1.

 

Table 1. Dependence of partitioning between fast and slow charge injection processesa on applied bias for thin film TiO2 photoanodes sensitized by 1: (i) film thickness 0.24 µm; (ii) film thickness 0.5 µm

(i)

bias (mV)

i(max) (µA)

a1 (%)

k1 (*106,s-1

a2 (%)

k2 (*103,s-1)

R2 (-)

 

-400

2.72

13.5

3.02

86.5

9.74

0.91

 

-300

3.54

19.2

3.63

80.2

9.85

0.92

 

-200

3.98

3.12

3.87

68.8

9.95

0.94

 

-100

4.82

36.8

3.01

63.2

9.08

0.96

 

0

5.29

40.7

3.12

59.3

8.85

0.95

 

+100

6.19

40.3

3.23

59.7

7.44

0.96

 

+200

6.99

42.9

3.41

57.1

9.95

0.97

(ii)

bias (mV)

i(max) (µA)

a1 (%)

k1 (*106,s-1)

a2 (%)

k2 (*103,s-1)

R2 (-)

 

-400

4.98

39.5

5.85

60.5

9.85

0.98

 

-300

6.45

39.2

5.51

60.8

6.76

0.98

 

-200

7.74

44.9

4.69

55.1

7.03

0.96

 

-100

9.58

48.2

4.43

51.8

6.73

0.97

 

0

11.6

52.3

4.78

47.7

7.48

0.95

 

+100

12.8

53.9

4.95

46.1

8.26

0.92

 

+200

16.0

53.9

4.88

46.1

8.91

0.93

a Partitioning and fast and slow processes as defined from equation 2.

 

Thus, the kinetics of photocurrent growth are not changed significantly by applied bias, but the ratio a2/a1 does increase with more positive applied potentials, as might be expected if electron hopping among TiO2 nanoparticles were more efficient than under a bias.

Photosensitized electron migration through a nanoparticulate thin film can be shown schematically by the pathways illustrated in Figure 6.

Figure 6. Schematic illustration of electron migration across the ITO/TiO2/1 electrode, where Ce0 = initial concentration of electrons injected from the dye to the conduction band of a TiO2 nanocrystalline thin film and n0 = electron concentration in the dark.

An immediate electron transfer from an excited ruthenium (II) bipyridyl complex to the conduction band of TiO2 takes place efficiently, with a rate constant in excess of 109 s-1 [12, 15, 30-32]. In contrast, electron migration among the constituent nanoparticles in the composite thin film to the ITO conductive support is slow, taking place over a microsecond to millisecond time scale. This process is thus rate-limiting for photocurrent growth. The fast growth of the photocurrent indicates that the highly mobile electrons produced very close to the ITO/TiO2 interface move into ITO through shallow traps within 10 ms, whereas those produced far from the ITO/TiO2 interface must hop many times among the constituent nanoparticles, sampling at least several deep traps, before reaching the conductive ITO support. The efficiency of this slow process depends significantly on an external applied bias.

3.4. Power characteristics

The photoanodic performance of a polymeric dye-sensitized ITO/TiO2/1 thin film electrode was investigated under illumination by a 150 W Xe lamp with a UV filter (> 425 nm), Figure 7.

Figure 7. Photocurrent-voltage characteristics of a regenerative photoelectrochemical cell consisting of electrode ITO/TiO2/1 as a photoanode and a Pt wire as counter-electrode, excited by a 150 W Xe-lamp with a UV filter (> 425 nm). Electrolyte: aqueous NaH2PO4 (0.05 M) containing H2Q (0.005 M).

As the load resistance or voltage is increased, the photocurrent gradually fell and eventually reached zero at an open circuit voltage of +0.34 V (vs. Ag/AgCl). The maximum power output (Pmax) of the cell was estimated to be 0.013 mW at 0.22 V (vs. Ag/AgCl). The fill factor (f = Pmax /(Vocisc), where Voc is the open circuit photovoltage) for this cell is 0.38.

3.5. Photocatalytic activity

The oxidative decomposition of methylene blue (MB) was used to demonstrate that photosensitized redox reactivty can be induced by visible irradiation of the composite ITO/TiO2/1 thin film. MB is a bright blue water-soluble dye that is stable in air-saturated solution upon irradiation at wavelengths longer than 300 nm, but is completely photooxidatively degraded by irradiation in this same wavelength region in the presence of TiO2 [33], eqn. 3:

 (3)

Upon backside irradiation with l> 400nm of the polymeric dye-coated film placed in contact with a dilute MB solution, the MB absorption band at 665 nm continuously drops, Figure 8.

Figure 8. Absorption spectra of an aqueous methylene blue solution during back-side irradiation with a 150 W uv-fltered Xe lamp (> 425 nm) using an ITO/TiO2/1 electrode (1.2 mm of TiO2): a) P-25 Degussa TiO2, b) nanoparticulate TiO2, and c) nanoparticulate TiO2 coated with 1. The film thickness of TiO2 in each electrode is 1.2 mm.

This observation indicates efficient photodecomposition initiated by absorption by the polymeric dye.

Three types of thin films were employed as photocatalyst: commercial (Degussa P-25) spin-coated TiO2, nanoparticulate spin-coated TiO2, and polymeric dye-coated nanoparticulate spin-coated TiO2. In the wavelength region employed, only trailing absorption by the first two films would have been possible under the experimental coniditions, but small levels of oxidative degradation were observed for all three films. Photocatalytic activity, however, increased in the order: commercial TiO2 , nanoparticulate TiO2, and ITO/TiO2/1. Thus, nanocrystalline TiO2 has higher reactivity than spin-coated commercial samples, and photosensitization by 1 resulted in an effective extension of the wavelength range capable of inducing photocatalytic activity from the ultraviolet into the visible range.

4. Conclusions

Nanocrystalline TiO2 thin film electrodes photosensitized by a substituted-Ru(bpy)32+-labeled polyimide 1 act both as efficient photoanodes and as sensitized photocatalysts. Electron diffusion can be monitored upon flash excitation under an external potential, with the applied bias accelerating electron migration among the constituent nanoparticles. Sensitized photocatalytic activity in the visible region of the electromagnetic spectrum of the nanoparticulate TiO2 film coated with 1 was demonstrated by the oxidative photodecomposition of methylene blue.

 

Acknowledgments

The work was supported by the Texas Advanced Research Program and by the Robert A. Welch Foundation. We are grateful to Dr. Dean Duncan for asssistance with the flash photolysis experiments.

 

References

[1] M. Grätzel Heterogeneous Photochemical Electron Transfer; CRC Press: Boca Raton, 1989.

[2] M. A. Fox and M. T. Dulay, Chem. Rev., 93, (1993) 341.

[3] B. O'Regan and M. Grätzel, Nature, 353, (1991) 737.

[4] A. J. Bard and M. A. Fox, Acc. Chem. Res., 28, (1995) 141.

[5] G. Hodes, I. D. J. Howell and L. M. Peter, J. Electrochem. Soc., 139, (1992) 3136.

[6] P. V. Kamat, CHEMTECH, June, (1995) 22.

[7] A. Kay and M. Grätzel, J. Phys. Chem., 97, (1993) 6272.

[8] C. Nasr, S. Hotchandani, P. V. Kamat, S. Das, K. G. Thomas and M. V. George, Langmuir, 11, (1995) 1777.

[9] S. Hotchandani and P. V. Kamat, Chem. Phys. Letters, 191, (1992) 320.

[10] P. V. Kamat, J. P. Chauvet and R. W. Fessenden, J. Phys. Chem., 90, (1986) 1389.

[11] A. Kay, R. Humphry-Baker and M. Grätzel, J. Phys. Chem., 98, (1994) 952.

[12] A. Hagfeldt and M. Grätzel, Chem. Rev., 95, (1995) 49.

[13] M. K. Nazeeruddin, A. Kay, I. Rodicio, R. Humphry-Baker, E. Müller, P. Liska, N. Vlachopoulos and M. Gräzel, J. Am. Chem. Soc., 115, (1993) 6382.

[14] I. Bedja, S. Hotchandani and P. V. Kamat, J. Phys. Chem., 98, (1994) 4133.

[15] P. V. Kamat, I. Bedja, S. Hotchandani and L. K. Patterson, J. Phys. Chem., 100, (1996) 4900.

[16] W. D. K. Clark and N. Sutin, J. Am. Chem. Soc., 99, (1977) 4676.

[17] A. Hamnett, E. M. P. Dare, R. D. Wright, K. R. Seddon and J. B. Goodenough, J. Phys. Chem., 83, (1979) 3280.

[18] P. K. Ghosh and T. G. Spiro, J. Am. Chem. Soc., 102, (1980) 5543.

[19] M. Krishnan, X. Zhang and A. J. Bard, J. Am. Chem. Soc., 106, (1984) 7371.

[20] R. Dabestani, A. J. Bard, A. Campion, M. A. Fox, T. E. Mallouk, S. E. Webber and J. M. White, J. Phys. Chem., 92, (1988) 1872.

[21] Y. I. Kim, S. J. Atherton, E. S. Brigham and T. E. Mallouk, J. Phys. Chem., 97, (1993) 11802.

[22] W.-J. Li, H. Osora, L. Otero, D. Duncan and M. A. Fox, J. Phys. Chem. (1998) in press.

[23] P. E. Cassidy Thermal Stable Polymers; Marcel Dekker Inc.: New York, 1980.

[24] B.-C. Ho, Y.-S. Lin and Y.-D. Lee, J. Appl. Polym. Sci., 53, (1994) 1513.

[25] M. A. Anderson, M. J. Gieselmann and Q. Xu, J. Membr. Sci., 39, (1988) 243.

[26] S. Ogawa, F.-R. F. Fan and A. J. Bard, J. Phys. Chem., 99, (1995) 11182.

[27] N. Vlachopoulos, P. Liska, J. Augustynski and M. Grätzel, J. Am. Chem. Soc., 110, (1988) 1216.

[28] J. Moser and M. Grätzel, J. Am. Chem. Soc., 106, (1984) 4336.

[29] S. Södergren, A. Hagfeldt, J. Olsson and S. E. Linquist, J. Phys. Chem., 98, (1994) 5552.

[30] R. Eichberger and F. Willig, Chem. Phys., 141, (1990) 159.

[31] R. Argazze, C. A. Bignozze, T. A. Heimer, F. N. Castellano and G. J. Meyer, Inorg. Chem., 33, (1994) 5741.

[32] K. Vinodgopal, X. Hua, R. L. Dahlgren, A. G. Lappin, L. K. Patterson and P. V. Kamat, J. Phys. Chem., 99, (1995) 10883.

[33] A. Mills, R. H. Davies and D. Worsley, Chem. Soc. Rev., 22, (1993) 417.